THE EVOLUTION OF THE GALAXIES

The evolution of the galaxies is an astronomical topic about which there is the least amount of agreement. It hangs together with so many different aspects of astronomy and physics and holds the key to cosmology. We see all sorts of galaxies in all stages of development, yet it has not proved possible to arrange the galaxies in their correct chronological sequence of evolutionary development. Since the galaxies are at all distances up to the remotest on the edge of the observable universe, we see them by the radiation which left them at all possible different times in the past.

One fact about which there does seem to be agreement, is that the galaxies are all moving away from each other. This was discovered in the nineteen-twenties by E P Hubble, V M Slipher and M L Humason, using the new 100 inch Hooker telescope on Mt Wilson. Hubble gets the credit for having formulated the law according to which the galaxies recede from each other, namely , where V is the velocity of recession, D is the distance and Ho is a constant, called the Hubble constant. This equation means that = constant, that is to say that the velocity of recession V, is proportional to the distance D. No one has gainsaid this statement. It means that a galaxy 5 times as far away as another, is receding at 5 times the velocity; one at 20 times the distance at 20 times the velocity. The other way round, it means that the distance of a galaxy receding at five times the speed is five times further. Thus, if the speed of recession can be measured, the distance of the galaxy can be calculated.

How can the speed of recession of a galaxy be measured? Very simply, by measuring the amount by which the spectral lines of the galaxy are shifted toward the red end of the spectrum -- the Doppler effect, which was discovered by C J Doppler (1803 - 53) and elucidated by A H L Fizeau (1819 - 96). The Doppler effect states that the received frequency of the radiation (sound or light) is increased when the radiating object approaches the observer and decreased when the object is receding. When the frequency of light is decreased its wavelength is increased. This is so because the product frequency times wavelength is constant, the constant being the speed of light.

The number of waves f per second, multiplied by their wavelength l , is the distance which light travels in one second, i.e. the speed of light. i.e. ,

Now, when a galaxy recedes from us the frequency of its light is decreased and thus the wavelength becomes greater, i.e. the light is reddened. This is called the redshift.

The redshift is found by dividing the increase in wavelength by the emitted wavelength, i.e. if the emitted wavelength is l o and the wavelength received is l , then the redshift .

When z is multiplied by c, the velocity of light, we get cz and it is equal to Ho D of the Hubble law.

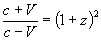
Einstein showed that , where c is the velocity of light and V the velocity of recession of the body.

When z is found from the value of V, the velocity of recession, can be calculated from , i.e. .

The first values of z that were measured, were of the order of 0,1, 0,2 or thereabouts.

Take z = 0,1:

Then

.

So that 0.21c = 2.21V

\ , namely 9.5%.

The velocity of recession is thus 9.5% of the speed of light.

When the quasars were discovered, it was found that they have much greater redshifts.

The record redshift now stands at about 6.

At what speed is this body receding?

so that

\ or 96%

A body with a redshift of 6 is therefore receding at 96% of the speed of light.

So, what happens when a body recedes at 100% of the speed of light?

infinity.

Therefore (1 + z) will be equal to infinity and so will z be equal to infinity.

No body can therefore recede at a speed equal to the speed of light. This is another way of saying that a body at the observable edge of the universe is invisible.

How far away is a quasar if it has a redshift of 6?

For this calculation we have to use the Hubble formula Ho D = V, where D is the distance and

V = 0,96 x 300 000 km per sec.

To calculate we have to know the value of the Hubble constant Ho . The original value that Hubble found, was 530 km s-1 Mpc-1 (kilometres per second per megaparsec). (1 megaparsec is 1 million parsecs or 3,26 million light years).

Studies of galaxies further afield led to lower and lower values for the Hubble constant. According to A R Sandage and G A Tammann of Mount Palomar, Ho = 55 km s-1 Mpc-1.

The lower the value of Ho the greater the distance works out to be.

Taking Ho = 55 km s-1 Mpc-1 , we find for a redshift of 6, which we have seen, yields a speed of recession of 96% of the speed of light:

Mpc

light years, i.e. 17 thousand million or 17 milliard light years.

If Ho is taken as 80 km s-1 Mpc-1 , we get:

Megaparsec

milliard light years.

An object with a recession velocity of 96% of the speed of light will lie at a distance of 11,7 to 17 milliard light years. The light from such an object must therefore have taken between 11,7 and 17 thousand million years to reach the Earth. We therefore see such an object by the light which left it 11,7 to 17 milliard years ago. At that time its recession velocity was 96% of the speed of light. Its speed of recession must have decreased from what it was originally because we find that the speed of recession of an object 1 thousand million light years distant, is given by:

       = 55,77% of the speed of light when Ho is taken as 55;
and
       = 38,34% of the speed of light when Ho is taken as 80.

Einstein pointed out the difficulty of explaining the action at a distance which is required in Newton's law of gravitation. Einstein proposed instead that the recession of the galaxies is due to the expansion of space - the very fabric of space must be expanding. This has formed the basis of the inflation theory.

We see the object whose redshift is 6 and whose speed of recession is 96% of the speed of light by the light which left it when the universe was only 4% of its total age.

Since quasars seem to be associated with galaxies, we can say that galaxies were in existence when the universe was only 4% of its age. The matter formed at the time of the big bang must, by that time, already have condensed into galaxies.

If the universe is 17 milliard years old, the first galaxies must have condensed 4% x 17, namely when the universe was only 0,68 milliard years old, or 0,68 milliard years after the big bang.

If the age of the universe is taken as I 1,7 milliard years, the galaxies condensed 4% x 11,7, or 0,468 milliard years after the big bang.

How did the galaxies evolve from that time on? There seem to be great differences of opinion on that score.

Eben van Zyl