Johannesburg Centre, Astronomical Society of Southern Africa


RELATIVITY
E van Zyl
Part III

This is the transformation which is needed to convert a reading x' in the K' system of coordinates to an x value in the K system, if K' moves with a speed of v relative to the K system. According to classical Galileian / Newtonian mechanics: x' = x - vt.
We are considering motion only along the x axis. y' and z' remain the same as y and z, respectively.

A light signal along the positive x axis ( to the right ) of frame K is transformed according to the
equation x = ct, or x - ct = 0                                                                                            (1)

Relative to K' the transformation is x' - ct' = 0                                                                     (2)

Space-time points ( called events ) which satisfy (1) must also satisfy (2).

                                    i.e.   where l is a constant                              (3)

In the negative direction where m is a constant                                     (4)

Add (4) to (3)     

                                         

                                 

                                i.e.                                                                       (5 i)

        where and .

      Equation (3)

      Equation (4)

Subtract (4) from (3)

                      So that

                                 i.e.

                         ..So that                                                                      (5 ii)

The problem now is to find the values of a and b. For the origin of K', x' = 0
x' = ax - bct.
( Equation (5 i) ), becomes ax - bct = 0.

                                                                                                         (6)

                                    and or , and .

v is the relative velocity of the two systems of co-ordinates.

The Principle of Relativity states: Relative to K the length of a unit measuring rod at rest to K', must be exactly the same as the length of the rod relative to K' of a unit measuring rod at rest to K.

Insert a particular value of t ( time of K ), e.g. t = 0,

                                     Then (5 i) becomes x' = ax - bc(0),

                                                        So that x' = ax

If x' increases by 1 unit ( infinitesimally small ) ax = 1 so that                           (7)

Relative to K' where t' = 0 , eliminating t from equations (5 i) and (5 ii)

we get: bct = ax - x' and act = ct' + bx .

            Thus and so that .

                                so that….. .

But and from (6)

                                                     

                                                     ie

                                             so that .

Thus points on the x-axis separated by distance 1 relative to K will be represented by the distance

x' = a ( 1 - v2 / c2 )1 and this must be equal to ( from (7) )

. Therefore                                                           (8)

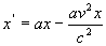
Equations (6) and (8) determine the values of a and b . Insert these values of
a and b in equation (5 i) :    

                                           

                                           

                                           
                        The Lorentz transformation for events on the x-axis.

The time t' can be derived from:

It equals the classical transformation divided by


Hits since October 2003: Hit Counter  

Neither ASSA nor the Johannesburg Centre is responsible for the content of any site to which this web presence might be linked. The opinions expressed by our contributors are not necessarily those of the Society. No responsibility is assumed for the accuracy of information presented on this site, nor for its use or the consequences thereof.

Comments & Suggestions? Mail to webmaster@assajhb.co.za